GHz-Zeitkristalle: Eine neue Physik für optoelektronische Anwendungen
Physik-News vom 10.06.2024
Forscher haben erstmals einen Zeitkristall auf einem mikroskaligen Halbleiterchip beobachtet, der mit einer Frequenz von mehreren Milliarden Mal pro Sekunde oszilliert und außergewöhnlich hohe nichtlineare Dynamiken im GHz-Bereich zeigt.
Die Ergebnisse des Experiments stellen eine feste Verbindung zwischen bisher unkorrelierten Bereichen der nichtlinearen Exziton-Polariton-Dynamik und kohärenter Optomechanik bei GHz-Frequenzen her, erläutern die Forscher vom Paul-Drude-Institut für Festkörperelektronik (PDI) in Berlin, Deutschland, und dem in Argentinien ansässigen Centro Atómico Bariloche und Instituto Balseiro (CAB-IB). Laut dem Forschungsteam zeigt dieses Experiment vielversprechende Möglichkeiten zur Nutzung von Zeitkristallen in integrierter und Mikrowellen-Photonik.
Die Forschung wurde mit einer besonderen, halbleiterbasierten Probe durchgeführt, die als Falle für kohärente Licht-Materie-Kondensate fungiert. Die am PDI entworfene und gefertigte Probe wurde durch das Stapeln von atomar dünnen Schichten von Halbleitermaterialien unter Ultrahochvakuumbedingungen hergestellt Hierdurch entstand schließlich eine mikrometergroße „Box“ , die Millionen von Quantenpartikeln einschließen kann. Anschließend wurde sie für weitere Experimente an das CAB-IB gegeben.
Publikation:
I. Carraro-Haddad, D. L. Chafatinos, A. S. Kuznetsov, I. A. Papuccio-Fernandez, A. A. Reynoso, A. Bruchhausen, K. Biermann, P. V. Santos, G. Usaj , and A. Fainstein
Solid-state continuous time crystal in a polariton condensate with a built-in mechanical clock
Science (2024)
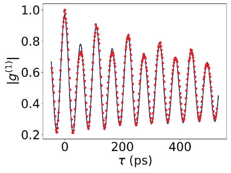
Als das CAB-IB-Team einen zeitunabhängigen,kontinuierlichen Laser auf die Probe richtete, beobachteten sie, dass die enthaltenen Partikel bei GHz-Frequenzen – eine Milliarde Mal pro Sekunde – zu oszillieren begannen. Dies ist das erste Mal, dass an einer Kondensatprobe auf einem Halbleiterbauelement anhaltende Oszillationen in diesem frequenzbereich beobachtet wurden. Die Forscher zeigten, dass die Oszillationen durch die optische Leistung des Lasers feinabgestimmt werden konnten, wobei die freie Entwicklung der Frequenz durch aufgeprägte mechanische Schwingungen des Halbleiter-Atomgitters mit einer Frequenz von 20 GHz stabilisiert werden konnte. Sie beobachteten, dass die Partikel – wie theoretisch vorhergesagt - bei weiterer Erhöhung der Laserleistung genau mit der halben Frequenz der mechanischen Schwingungen vibrierten.
Dieses Verhalten kann als Manifestation eines Zeitkristalls interpretiert werden.
Alexander Kuznetsov, Wissenschaftler am PDI
Kuznetsov: „Die Ergebnisse fügen der Physik offener Vielteilchen-Quantensysteme eine neue Dimension hinzu. Wir haben gezeigt, dass Frequenzen möglich werden, die mehrere Größenordnungen höher sind als bisher, und sehen neue Wege zur Kontrolle der Dynamiken, die zu den faszinierenden Zeitkristallen auf einer Halbleiterplattform führen.“
Was sind Zeitkristalle?
Seit der Nobelpreisträger Frank Wilczek seine Theorie zu Zeitkristallen vor über einem Jahrzehnt erstmals vorschlug, suchen Forscher nach diesen schwer fassbaren Vielteilchensystemen, die aus Teilchen und Quasiteilchen wie Exzitonen, Photonen und Polaritonen bestehen und in ihrem stabilsten Quantenzustand periodisch in der Zeit variieren.
Wilczeks Theorie drehte sich um die rätselhafte Frage: Kann der stabilste Zustand eines Quantensystems vieler Teilchen periodisch in der Zeit sein? Das heißt, kann er zeitliche Oszillationen zeigen, die durch einen wohldefinierten Rhythmus gekennzeichnet sind?
Es wurde schon sehr bald gezeigt, dass Zeitkristallverhalten in isolierten Systemen (Systemen, die keine Energie mit der Umgebung austauschen) nicht auftreten kann. Aber weit davon entfernt, mit dem Thema abzuschließen, motivierte diese Feststellung die Wissenschaftler, nach den Bedingungen zu suchen, unter denen ein offenes System (d.h. eines, das Energie mit der Umgebung austauscht) ein solches Zeitkristallverhalten entwickeln könnte. Und obwohl Zeitkristalle mittlerweile mehrfach in Systemen außerhalb ihres Gleichgewichts beobachtet wurden, bleibt vieles über sie unbekannt: Ihre inneren Dynamiken sind weitgehend unverstanden, und ihre potenziellen Anwendungen bewegten sich eher im Bereich der Theorie als der Praxis bewegt.
„Diese Arbeit stellt einen Paradigmenwechsel im Ansatz zu Zeitkristallen dar, da sie die Möglichkeit zeigt, wie solche Studien auf beliebig große Gitter lokalisierter Zeitkristalle ausgedehnt werden können, um deren Interaktionen und ihre Synchronisation zu untersuchen“, sagte Professor Alejandro Fainstein, der das CAB-IB-Team leitete. „Dadurch konnten wir ungewöhnliches Verhalten von Quantenmaterialien aufdecken. Da die beteiligten Materialien Halbleiter sind, die mit integrierten photonischen Bauelementen kompatibel sind, und die gezeigten Frequenzen sowohl für klassische als auch für Quanteninformationstechnologien relevant sind, versuchen wir, dieses Verhalten für Anwendungen zu kontrollieren, einschließlich der Umwandlung von Photon- zu Radiofrequenz auf Quantenebene.“
Potenzielle Anwendungen
Laut der beteiligten Forschungsteams zeigt dieses Experiment vielversprechende Ansätze zur Nutzung von Zeitkristallen in integrierter und Mikrowellen-Photonik. „Aufgrund der polariton-verstärkten Kopplung zwischen GHz-Phononen und Photonen im nahen infraroten Frequenzbereich haben die Ergebnisse das Potenzial für Anwendungen in der (Quanten-)Umwandlung zwischen Mikrowellen- und optischen Frequenzen“, sagt Paulo Ventura Santos, Senior Scientist am PDI.
Nichtlineare optoelektronische Systeme auf Halbleiterbasis – Bauelemente, die Lichtenergie in elektrische Energie umwandeln können oder umgekehrt – ziehen besonderes Interesse auf sich, da sie potenzielle Anwendungen in der On-Chip-Photonik haben. Sie sind jedoch notorisch schwer zu untersuchen, da die Vielteilchenkomplexe (wie Zeitkristalle), die ihre elektronischen und optischen Eigenschaften bestimmen, schwer zu definieren sind.
„Ein tieferes Verständnis gut definierter Regime innerhalb dieser Vielteilchensysteme, wie die vom PDI/CAB-IB-Team identifizierten, kann helfen, diese inneren Dynamiken zu klären – und wiederum Methoden zur Kontrolle und Nutzung solcher Systeme für Anwendungen zu entwickeln“, sagt Gonzalo Usaj, der Theorieleiter des CAB-IB-Teams.
PDI und CAB-IB
Über das PDI
Das Paul-Drude-Institut für Festkörperelektronik (PDI) in Berlin ist ein Forschungsinstitut, das sich auf die grundlagen- und anwendungsorientierte Forschung an der Schnittstelle von Materialwissenschaft, Festkörperphysik und Bauelementeentwicklung spezialisiert hat. Mit einem besonderen Fokus auf niedrigdimensionalen Halbleiterstrukturen ist es die Mission des PDI, neue Funktionalitäten für zukünftige Technologien zu inspirieren und zu demonstrieren.
Über CAB-IB
Das Bariloche Atomic Centre (CAB) ist eine Forschungs- und Entwicklungseinrichtung unter der argentinischen Nationalen Atomenergiekommission. Das Instituto Balseiro (IB), eine akademische Einheit innerhalb des CAB, bietet modernste Labors für Forschung und Entwicklung. Seine Mission ist es, Wissenschaft und Technologie in Argentinien voranzubringen, indem es Forschende sowohl in nuklearen als auch in nicht-nuklearen Bereichen für friedliche Zwecke ausbildet.
Diese Newsmeldung wurde mit Material des Paul-Drude-Instituts für Festkörperelektronik via Informationsdienst Wissenschaft erstellt.