Ein Wimpernschlag vom Isolator zum Metall

Ein Wimpernschlag vom Isolator zum Metall



Physik-News vom 16.04.2018

Dank der geschickten Kombination neuartiger Technologien lassen sich vielversprechende Materialien für die Elektronik von morgen untersuchen. Mit Hilfe kurzer Laserpulse ist es einem Forscherteam um Misha Ivanov vom Max-Born-Institut in Berlin gemeinsam mit Wissenschaftlern des Russian Quantum Center bei Moskau gelungen, Licht auf die extrem schnellen Prozesse in neuartigen Materialien zu werfen. Die Ergebnisse sind im renommierten Fachblatt „Nature Photonics” erschienen.

In den letzten Jahrzehnten sind Computer immer schneller geworden und zugleich haben Festplatten und Speicherchips riesige Kapazitäten erreicht. Die Entwicklung kann aber nicht immer so weiter gehen: Schon heute zeichnen sich physikalische Grenzen ab, die eine weitere drastische Beschleunigung der auf Silizium basierenden Computertechnik unmöglich machen. Bei der Suche nach neuartigen Materialien und Technologien für die Informationsverarbeitung versprechen sich Forscher insbesondere von der Kombination elektrischer und optischer Schaltkreise ganz neue Impulse.


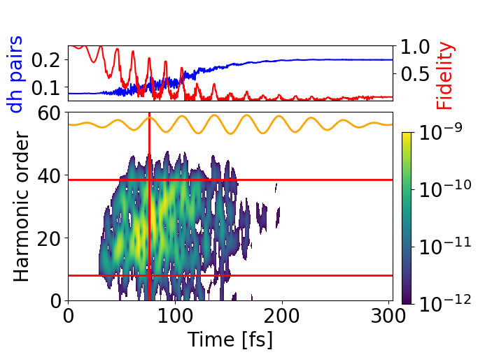
Hohe harmonische Spektroskopie des lichtinduzierten Phasenübergangs. Die vertikale rote Linie zeigt, wo das elektrische Feld des Lasers (gelbe oszillierende Kurve) das Schwellenfeld überquert und dabei die isolierende Phase des Materials zerstört. Die obere Grafik zeigt die durchschnittliche Anzahl an Doublonen-Loch-Paaren pro Platz (blau) und den Zerfall des isolierenden, feldfreien Grundzustands (rot).

Publikation:


R. E. F. Silva, Igor V. Blinov, Alexey N. Rubtsov, O. Smirnova & M. Ivanov
High harmonic spectroscopy of ultrafast many-body dynamics in strongly correlated systems
Nature Photonics, 26 March 2018 (online)

DOI: 10.1038/s41566-018-0129-0



Mit Hilfe kurzer Laserpulse ist es nun einem Forscherteam um Misha Ivanov vom Max-Born-Institut in Berlin gemeinsam mit Wissenschaftlern des Russian Quantum Center bei Moskau gelungen, Licht auf die extrem schnellen Prozesse in solchen neuartigen Materialien zu werfen. Die Ergebnisse sind im renommierten Fachblatt „Nature Photonics” erschienen.

Von besonderem Interesse für die moderne Materialforschung in der Festkörperphysik sind sogenannte „stark korrelierte Systeme”, bei denen sich die Elektronen im Material gegenseitig beeinflussen. Ein Beispiel hierfür sind Magnete: Hier richten sich die Elektronen im Material in einer bevorzugten Drehrichtung aus und erzeugen dadurch ein Magnetfeld. Es sind aber auch ganz andere Ordnungsstrukturen denkbar. Bei sogenannten Mott-Isolatoren, die derzeit intensiv erforscht werden, sollten die Elektronen eigentlich frei fließen können und das Material elektrisch leitend sein wie ein Metall. Aufgrund der gegenseitigen Wechselwirkungen in diesem stark korrelierten Material behindern sie sich aber gegenseitig und das Material wird zum Isolator.

Wenn man diese Ordnung durch einen starken Laserpuls stört, ändern sich auch die physikalischen Eigenschaften dramatisch. Man kennt dies vom Übergang von fest zu flüssig: Wenn Eis schmilzt, verwandelt sich der starre Eiskristall in frei bewegliche Wassermoleküle. Ganz ähnlich gewinnen auch die Elektronen in stark korrelierten Materialien Beweglichkeit, wenn ihre Ordnung durch externe Laserpulse einen Phasenübergang erfährt. Deshalb eröffnen solche Phasenübergänge die Möglichkeit, ganz neue Schaltelemente für die moderne Elektronik zu entwickeln, die schneller und vermutlich energieeffizienter als heutige Transistoren sind. Im Prinzip könnten Computer dank der Kombination von elektrischen Komponenten mit Lichtpulsen rund 1000-fach schneller werden.

Das Problem bei der Analyse solcher Phasenübergänge: Sie finden extrem schnell statt und lassen sich deshalb nur schwer untersuchen. Bislang konnten Wissenschaftler nur den Zustand des Materials vor und nach einem solchen Phasenübergang bestimmen. Die Forscher Rui E.F. Silva, Olga Smirnova und Misha Ivanov vom Max-Born-Institut haben nun aber eine Methode ersonnen, im wahrsten Sinne des Wortes Licht auf diese Prozesse zu werfen: Laut ihrer Theorie kann man diese Materialien mit extrem kurzen, maßgeschneiderten Laserpulsen bestrahlen, die in dieser Qualität erst jetzt verfügbar sind. Damit lässt sich als Reaktion des Materials auf diese Pulse beobachten, wie die Elektronen im Material zu Bewegungen angeregt werden und dabei wie eine Glocke Oberschwingungen mit bestimmten Frequenzen aussenden, als Harmonische des einfallenden Lichts.

„Wenn wir dieses hohe harmonische Spektrum analysieren, können wir erstmals die Änderung der Ordnungsstruktur in diesen stark korrelierten Materialien ‚live‘ beobachten”, sagt Erstautor Rui Silva. Erst seit Kurzem gibt es Laserquellen, die überhaupt in der Lage sind, diese Übergänge gezielt auszulösen. Dazu müssen die Laserpulse einerseits stark genug sein – und andererseits extrem kurz und im Femtosekundenbereich liegen (millionstel milliardstel Sekunden).

Teilweise reicht eine einzige Lichtschwingung, um die Ordnung der Elektronen im Material durcheinanderzuwirbeln und aus einem Isolator einen metallartigen Leiter zu machen. Die Wissenschaftler am Max-Born-Institut gehören auf diesem Gebiet ultrakurzer Laserpulse zu den führenden Experten weltweit.

„Wenn wir die Eigenschaften der Elektronen im Material mit Licht kontrollieren wollen, müssen wir genau verstehen, wie die Elektronen auf Lichtpulse reagieren”, erklärt Ivanov. Dank der neuartigen Laserquellen, bei denen sich sogar einzelne Schwingungen des elektromagnetischen Feldes vollständig kontrollieren lassen, sind mit der nun publizierten Methode tiefe Einsichten in die Materialien der Zukunft möglich.


warte
warte
warte
warte
warte
warte
warte
warte
warte
warte